在噪聲的測量中,採用1/3倍頻程頻譜分析能更加詳細的反映出噪聲源的頻譜特性,便於較全面的瞭解聲源産生機理和提出最佳的降噪對策。而1/1倍頻程測量結果簡單實用,在吸聲、隔聲、消聲等基本噪聲控制元件的性能分析中普遍應用,因此也是工程中常測的項目之一。
倍頻程定義
倍頻程是幫助量化人類如何區分頻率的頻率帶。倍頻程段表示特定頻率範圍内的整體能量水平。
如上圖所示,所有垂直的塊是一個倍頻程。
緊接著,倍頻程帶是如何確定的呢?在這裏首先要借用音樂的知識,術語“倍頻帶”是從音樂理論借鑒的,其中同名音符之間的頻率是雙倍的。如下圖所示,每個頻段的上截止頻率均爲下截止頻率的2倍,稱之爲1/1倍頻程。
人類聽覺中的倍頻程以相同的方式發展:人類聽覺範圍(20-20kHz)被分成十一個倍頻程,每個頻帶具有前一頻帶的頻率跨度的兩倍,與上述類似,這些被稱爲1/1倍頻帶,如下圖所示。
爲瞭更貼近地匹配人類如何區分頻率,每個1/1倍頻帶可以分成三個頻帶,這些被稱爲1/3倍頻帶。這些較小的頻帶能更接近地代表人類如何區分頻率。
如下圖所示爲1/3倍頻帶的上、下截止頻率和中心頻率。
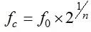
綜上,倍頻程的上下截止頻率可如下定義:若初始頻率爲f0,1/n倍頻程,則第一段的上截止頻率fc可以計算爲:
倍頻程的格式
通常顯示倍頻程,是以其帶寬的中心頻率線性間隔的,這叫做倍頻程格式。 這會導緻倍頻程在頻譜圖對的橫軸上出現相同的間隔,即使它們間隔不是均勻的。如下圖所示:
白噪聲表現爲窄帶(藍色)和倍頻程(綠色)格式,x軸是倍頻程格式。注意到,與較高頻率的倍頻程段相比,較低頻率處的倍頻帶的填充數據較少。如上表格所示,這是因爲較高頻率的倍頻帶覆蓋的頻率範圍比較低頻率的倍頻帶寬。
與倍頻程格式比較之下,上圖繪制瞭與之前相同的數據,但x軸是線性格式。注意,功率譜(藍色)在所有頻率下具有相同的密度。但每個倍頻帶(綠色)覆蓋的頻率範圍越來越大。
倍頻程作用
倍頻帶有助於確定人耳如何區分頻率。在較低的頻率下,耳朵可以更容易地區分頻率。因此,倍頻帶更窄。在較高的頻率下,耳朵難以區分頻率(即使頻率相差很遠)。因此,倍頻帶更寬。
